énergie cinétique

PHYSIQUE
1. Généralités
L’énergie cinétique est une notion fondamentale en physique, en particulier en dynamique (→ mécanique).
Comme toute énergie, l’énergie cinétique s'exprime en joules (J).
L'énergie cinétique d'un système est la somme des énergies cinétiques des corps qui le composent. On distingue deux formes d’énergie cinétique :
• l’énergie cinétique de translation ;
• l’énergie cinétique de rotation.

Dans le cas d’un corps en translation, de masse m et de vitesse v, l'énergie cinétique Ec est proportionnelle à la masse du corps et au carré de sa vitesse, soit la relation :

Dans le cas d’un corps en rotation, l’énergie cinétique est proportionnelle au carré de la vitesse angulaire ω, selon la relation :
, où I représente le moment d’inertie du système.
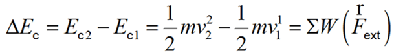
2. Théorème de l’énergie cinétique
Un grand nombre de problèmes de mécanique peuvent être résolus grâce au théorème de l’énergie cinétique. Ce théorème stipule que la variation de l'énergie cinétique entre deux instants t1 et t2 est égale à la somme algébrique des travaux des forces extérieures appliquées à ce système entre ces deux instants, soit :

Le travail est moteur si l'énergie cinétique augmente et résistant en cas contraire.
3. Loi de conservation de l’énergie

L’énergie cinétique intervient également dans la loi de conservation de l’énergie. En effet, pour un système isolé, sans interaction avec d'autres systèmes, la somme de l'énergie cinétique et de l'énergie potentielle (c’est-à-dire l’énergie mécanique) est constante au cours du temps :
Ec + Ep = Em = cte
Au cours du mouvement, l'énergie cinétique peut se transformer en énergie potentielle et vice versa sans que leur somme ne change (exemple : pendule oscillant, sans frottements).
4. Transformations de l'énergie cinétique et applications



L’énergie cinétique peut se transformer en une grande variété d’énergies : dans les centrales hydrauliques (→ hydroélectricité), l’énergie cinétique de l’eau est transformée en électricité par un alternateur ; par ailleurs, lorsque la capsule spatiale Soyouz entre dans l’atmosphère, une partie de son énergie cinétique est convertie en chaleur : la capsule est ralentie par les frottements de l’air et son bouclier thermique se consume. Inversement, au décollage, l’énergie chimique de la poudre contenue dans les propulseurs d’une fusée (→ lanceur spatial) se transforme en énergie cinétique. De même, une locomotive à vapeur transforme l’énergie thermique (→ thermodynamique) en énergie cinétique, et dans un moteur électrique c’est l’électricité qui met le rotor en mouvement.









