calcul
Cet article est extrait de l'ouvrage Larousse « Dictionnaire de la philosophie ».
Du latin calculus, « caillou, pion servant à compter ». Terme d'arithmétique et, plus généralement, de mathématique.
Mathématiques
Méthode qui permet de combiner entre elles des grandeurs, d'effectuer des opérations ou des associations entre deux ou plusieurs de ces grandeurs.
La nature du calcul dépend donc, en premier lieu, de la nature des grandeurs sur lesquelles il effectue ses opérations. Le calcul arithmétique a pris son essor en combinant des entiers naturels, en les ajoutant, les soustrayant, les multipliant et les divisant (lorsque cela est possible). C'est ainsi que sont nées les « quatre opérations » de l'arithmétique. D'autres possibilités, c'est-à-dire d'autres calculs, sont imaginables si l'on a affaire aux nombres rationnels (l'extraction des racines leur convient dans des conditions bien déterminées). Avec les nombres réels, le calcul prend une extension remarquable, en ce sens qu'il opère sur des grandeurs continues et peut, dès lors, exprimer des propriétés et des résultats de nature géométrique. Il y a encore bien d'autres genres de calcul, selon que l'on considère les combinaisons réalisées à partir des nombres complexes ou encore des vecteurs, des matrices, des fonctions, etc.
Le concept de calcul dépend ensuite des opérations dont on dispose. On vient d'évoquer les quatre opérations de base ; il en existe bien d'autres qui relèvent de la notion de calcul et qui contribuent à en modifier le sens. L'extraction de la racine carrée, possible sur les réels positifs ou sur les complexes, faisait partie du « calcul » dès le xvie s. Les calculs trigonométriques, logarithmiques ou exponentiels accroissent encore le champ du calcul sur les grandeurs continues. Le calcul vectoriel permet de combiner, ayant des dimensions (des coordonnées) multiples. Les opérations peuvent y porter des noms similaires à celles qui sont à l'œuvre en arithmétique, sans relever des mêmes règles ; ainsi en va-t-il de l'addition ou de la multiplication vectorielle. Le calcul matriciel généralise encore les possibilités exploitées par le calcul vectoriel.
En inventant, à la fin du xviie s., le calcul différentiel et intégral, Leibniz et Newton réalisent une sorte de révolution dans l'idée de calcul pour au moins deux raisons : d'abord, ces calculs soumettent la notion d'infini à des règles opératoires cohérentes et sûre, ils donnent sens à une variation instantanée ou ponctuelle, mais aussi à une sommation infinie de valeurs continûment variables ; ensuite, ils offrent un modèle dans lequel le résultat du calcul n'a pas la même dimension que les objet qu'il combine, l'intégrale définie d'une fonction réelle donne une aire, ou encore la dérivation d'une trajectoire à variable temporelle donne une vitesse instantanée.
Il convient d'insister sur l'interaction entre les grandeurs « calculées » et les opérations inventées. Ainsi, c'est en étendant par symétrie l'addition que l'on peut construire axiomatiquement l'ensemble des entiers relatifs à partir de l'ensemble des entiers naturels ; c'est en étendant par symétrie la multiplication que l'on peut obtenir l'ensemble des nombres rationnels, ou encore l'extension de l'extraction des racines est une des voies d'accès au concept de nombre complexe. À l'inverse, c'est la recherche d'une sommation cohérente des grandeurs continues (identifiables aux réels) qui a permis d'élaborer le calcul intégral et son opération « ∫ ».
Le destin du calcul mathématique s'est joué autour de la façon dont il a pu être noté. La mise au point de notations adéquates et performantes a été décisive à chaque étape de son histoire. Pour l'arithmétique, l'invention des chiffres et de l'écriture de position, la disposition des opérations ont été de puissants stimulants de son développement, même s'il faut remarquer que cette science a pu être exprimée dans la langue usuelle chez les Grecs et jusqu'à une période avancée du Moyen Âge. D'une certaine manière, on peut soutenir que « l'arithmétique est devenue algèbre », du fait des changements dans les notations : dès lors que l'on a commencé à « faire avec des lettres, les calculs qu'on faisait avec des chiffres », comme le dit Descartes, l'algèbre entrait dans son âge d'or. Les a, b, c ... x, y, z devenaient les symboles que ce calcul combinait ; les opérations recevaient (au cours d'un processus long et sinueux, qui va du xve au xviie s.) leur symbolisme adapté : +, ±, =, etc. Depuis, chaque nouvelle extension de l'idée de calcul exige une notation symbolique adaptée, que ce soit en logique ou dans le domaine des applications des mathématiques.
Enfin, une caractéristique commune aux calculs est leur automaticité. On peut être habile, sûr, virtuose même en calcul, mais la place de l'invention, de l'imagination y est réduite. Cette remarque ne concerne pas les stades de l'invention des objets et des règles de calcul, mais bien ceux où il est mis en œuvre, effectué. Les algorithmes calculatoires sont aveugles, ils se déroulent de manière systématique, et c'est évidemment la raison profonde pour laquelle ils peuvent être traités par des machines. Cela ne doit cependant pas être interprété trop strictement, puisqu'il y a généralement plusieurs voies pour mener un calcul, et certaines sont meilleures que d'autres ; si les calculatrices sont assez puissantes pour les examiner et les évaluer toutes, la perspicacité, l'intuition et la capacité d'anticipation sont des armes propres à l'entendement humain pour opérer des choix dans la manière de mener un calcul.
Vincent Jullien
calcul infinitésimal
Mathématiques
Technique analytique consistant à maîtriser des variations infinitésimales. Le calcul différentiel et le calcul intégral en sont les parties principales.
L'analyse infinitésimale comprend deux éléments éminents. La manipulation, d'une part, de quantités qui sont comme rien, c'est-à-dire telles que l'on peut les négliger dans le résultat mais pas dans le processus résolutoire. La compréhension, d'autre part, de phénomènes liés à la variation, c'est-à-dire qu'elle correspond parfaitement à la partie cinématique de la physique classique.
Dérivées

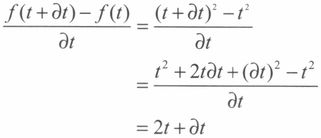
Le calcul de la dérivée d'une fonction continue et dérivable, c'est-à-dire définie en chacun de ses points, correspond essentiellement à la pente de cette fonction, c'est-à-dire au taux de variation instantané de cette fonction par rapport au temps. Soit la fonction :

On a :
qui est l'expression de la fonction f ′ dérivée de f. Les techniques différentielles engagent la compréhension de phénomènes liés à la variation, c'est-à-dire qu'elles correspondent parfaitement à un usage cinématique.
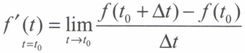
Si f(t) est définie sur un intervalle de variation de t, la dérivée de f par rapport à t en un point t0 est définie comme la limite quand t tend vers t0 du rapport de l'accroissement de f dans l'intervalle [t – t0] = Δt, soit :

Primitives
Si f(t) a pour dérivée f ′(t), on peut montrer que, à l'inverse, f(t) est une primitive de f ′(t). Toute fonction F′(t) = f(t) est une primitive de f(t). Pour retrouver cette primitive dans le cas énoncé, il faut considérer le schéma suivant
où l'on perçoit bien le principe de l'intégration : sommer des triangles infinitésimaux circonscrits par la base Δt et par le pente d'équation y = f ′(t). L'aire obtenue est mesurée par la primitive de la courbe cherchée. Si le calcul différentiel est la prolongation des recherches sur les valeurs prises par les tangentes en un point d'une courbe, le calcul intégral se situe dans le cadre des recherches sur la quadrature des surfaces.
Fabien Chareix
calcul différentiel
Histoire des Sciences, Mathématiques, Physique
Méthode analytique consistant à déterminer la mesure d'une tangente à une courbe en un point déterminé.
Le calcul différentiel est né à la fin du xviie s., issu de façon indépendante des travaux de Leibniz sur les propriétés des triangles semblables, et des recherches de Newton sur les méthodes dites de fluxion. C'est dans un mémoire de 1684(1) que Leibniz publie les résultats de travaux ayant pour finalité la réduction du raisonnement géométrique à un simple calcul algébrique. Il en donne d'abord les définitions : dx est une « différence de x » quelconque, dy, dv, dz etc. sont les différences d'ordonnées définies par le rapport :
où XB, XC, XD et XE sont les valeurs d'abscisses correspondant respectivement à chaque ordonnée.

Il apparaît à l'évidence que Leibniz veut exprimer, par ces définitions, le coefficient de la pente, ou tangente, en un point. Cela revient à exprimer par une droite la variation des valeurs des ordonnées lorsque les abscisses x varient très peu, c'est-à-dire lorsque leur différence est aussi petite que l'on veut. Les propriétés des courbes sont alors aussi celles des triangles caractéristiques qui sont semblables aux triangles YxB, VxC, etc. Leibniz écrit :
« Ce qui constitue d'après moi le principe général de mesure des courbes, [est de] considérer qu'une figure curviligne équivaut à un polygone d'une infinité de côtés, il s'ensuit que tout ce qu'on peut établir quant à un tel polygone, qui soit ne dépende pas du nombre de côtés, soit devienne d'autant plus vrai qu'on prend un nombre de côtés plus grand, de sorte que l'erreur finisse par devenir plus petite que toute erreur donnée, on peut également l'affirmer de la courbe. »(2).
Le principe de l'analyse infinitésimale n'est pas né chez Leibniz et l'on retrouve certaines techniques analogues d'encadrement dès 1621 dans les travaux de Bonaventura Cavalieri. Il publie un ouvrage en 1635, la Geometria indivisibilibus cominuorum nova quadam ratione promota, dont la diffusion est attestée par l'usage réel dans les opérations de mesures complexes des surfaces qui en fut fait, en particulier dans les travaux de Huygens(3), Wallis(4) et Newton(5). C'est à ce dernier que l'on doit, dès 1665 (c'est-à-dire après la lecture qu'il fit de la méthode de Wallis), une variante du calcul différentiel : le calcul des fluxions ou des vitesses de variation des grandeurs algébriques. Mais les sources de Leibniz semblent devoir être trouvées dans les recherches de Fermat (extrema des fonctions algébriques), de Pascal (quadratures liées à des propriétés de tangentes dans certaines figures, dont la « roulette ») et de Roberval (méthode de détermination cinématique des tangentes à une courbe donnée). Quelles que soient les sources de Leibniz, le mémoire de 1684 est d'une concision et d'une discrétion extrêmes(6), presque stupéfiantes. Seules sont données par la suite les règles de formation qui structurent le calcul, sans autre justification :
Soit a une constante : da = 0
si y = v alors dy = dv
Addition et soustraction :
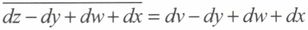
z – y + w + x = v alors

Multiplication :
soit, si y = xv

Leibniz remarque que le passage des valeurs à leurs différences se fait sans discussion. Il n'en est pas de même lorsque les différentielles sont posées d'abord. Ce dernier passage, des différences vers les valeurs originales des segments, constitue le principe même du calcul intégral.
Division :

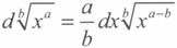
Une discussion sur les signes montre alors la nécessité de recourir, pour ces opérations complexes de composition des différences, à la figure elle-même : selon l'intersection des tangentes d'un côté ou de l'autre du point d'abscisse pris comme origine, on considérera le plus et le moins dans le calcul. Leibniz donne enfin les règles des différenciations des puissances :
et
et des racines :

L'ensemble ne présente aucune explication, si l'on met à part le groupe d'exercices finaux dans lesquels Leibniz montre la puissance du calculus et son pouvoir de résolution rapide des problèmes qui pouvaient autrefois occuper longuement les meilleurs géomètres.
Très critiquée dès son origine pour son aspect non rigoureux, l'analyse des infiniment petits est cependant adoptée par l'ensemble des physiciens classiques, dans le contexte de la mécanique newtonienne. Si Bernoulli, Euler, d'Alembert puis Laplace et Monge en font progressivement un outil complet en le prolongeant vers le calcul variationnel ou vers l'invention de systèmes d'équations différentielles aux dérivées partielles dont l'application est pertinente pour la résolution des problèmes de physique, il faut attendre les travaux de Cauchy, de Riemann et de Lebesgue pour que le statut exact du calculus et de ses paramètres évanescents soit examiné d'un point de vue purement mathématique. Abraham Robinson, dans les années 1960, substitue aux techniques infinitésimales anciennes une nouvelle façon de poser les quantités infinies : c'est l'analyse non-standard. Les grandeurs manipulées avec inventivité mais sans rigueur par les physiciens classiques y deviennent des nombres (infiniment grands et leurs inverses infiniment petits) déterminés et non plus de simples grandeurs limites. Cette opération rend possible l'application aux nombres infiniment grands ou petits des règles et propriétés des nombres ordinaires.
Fabien Chareix
Notes bibliographiques
- 1 ↑ Leibniz, G. W., Nova Methodus pro Maximis et Minimis, itemque Tangentibus, quæ nec fractas nec irrationales quantitates moratur, et singulare pro illis calculi genus, in Acta Eruditorum, Leipsig, 1684 (Mathematische Shriften, Band 6, ed. Gerhardt, Hildesheim : Olms, 1971, pp. 220-225).
- 2 ↑ Leibniz, G. W., Naissance du calcul différentiel, traduit par Marc Parmentier, Vrin, Paris, 1995, Addition à l'article sur le calcul des mesures des figures, 1684, pp. 93-94.
- 3 ↑ Christiaan Huygens (1629-1695) récuse, dans sa correspondance avec Leibniz, la légitimité des techniques révélées dans le mémoire de 1684. Il fait lui-même usage de sommations dans les manuscrits qui consignent ses recherches sur la courbe isochrone. Voir J. Yoder, Unrolling Time, Christiaan Huygens and the mathematization of nature, Cambridge : CUP, 1988.
- 4 ↑ Wallis, J., (1616-1703), Arithmetica infinitorum, Londini, 1655.
- 5 ↑ Newton, I., Philosophiæ naturalis principia mathematica, édition I.B. Cohen & A. Koyré, 2 vol., Harvard University Press, Cambridge, 1972.
- 6 ↑ Leibniz, G. W., Naissance du calcul différentiel, op. cit. Les notes de Marc Parmentier éclairent la démarche générale de Leibniz.
calcul intégral
Histoire des Sciences, Mathématiques, Physique
Méthode analytique consistant à déterminer la mesure d'une surface.
La quadrature des surfaces est une technique connue des mathématiciens grecs dans le cas de certaines figures de l'espace à deux dimensions. Leibniz systématise, dans un mémoire de 1686(1), le calcul des aires inscrites sous une courbe quelconque, entre deux bornes correspondant à la variation des abscisses. C'est à Jacques Bernoulli que l'on doit, en 1690, l'introduction du terme « intégral » (en lieu et place de l'adjectif « sommatoire » employé par Leibniz) pour désigner un calcul qui lie l'expression du tout à celle de ses parties qui entrent dans la sommation. Le calcul intégral, attaché à l'essor des notations leibniziennes, est moins le fruit du travail de Leibniz que celui des Bernoulli, de l'Hospital puis de Euler, Clairaut et d'Alembert (à qui on doit les équations aux dérivées partielles). Ces derniers contribuèrent à l'adoption définitive des outils de l'analyse par les physiciens classiques. Travaillant à la résolution de problèmes demeurés insolubles dans la première modernité (manœuvre des vaisseaux, harmoniques, modélisation de l'action du vent, etc.), leur apport à l'histoire du calculus devance, et de loin, celui de la voie anglaise : Taylor ou McLaurin ont seulement attaché à leur nom des séries rapportées à des sommations, sans que l'on puisse véritablement leur attribuer un rôle dans la rénovation et l'expansion du calcul intégral.
Fabien Chareix
Notes bibliographiques
- 1 ↑ Leibniz, G. W., De geometria recondita et Analysi indivibilium atque infinitorum, in Acta Eruditorum, Leipsig, 1686 (Mathematische Shriften, Band 6, ed. Gerhardt, Hildesheim : Olms, 1971, pp. 226-233).
