condensateur
(de condenser)

Composant électronique capable de stocker une charge électrique.

Un condensateur est constitué de deux plaques conductrices (appelées armatures), séparées par un milieu isolant (appelé diélectrique). Les armatures d’un condensateur portent des charges électriques opposées. Le premier condensateur a été la bouteille de Leyde, mise au point en 1746 par trois savants hollandais, Van Musschenbroek, Allaman et Cuneus, Son nom vient de la ville de Leyde aux Pays-Bas, où elle a été inventée.
1. Capacité d’un condensateur
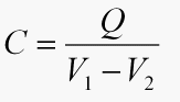
Un condensateur est caractérisé par sa capacité, notée C, c’est-à-dire la faculté d’accumuler sur ses armatures des charges électriques de signes opposés. La capacité C d’un condensateur est définie par le rapport de sa charge Q à la différence de potentiel entre les armatures (V1 – V2).
On écrit ainsi :

, avec C en farads (F), Q en coulombs (C), V1 et V2 en volts (V).
Une capacité de 1 farad étant très élevée, la capacité des condensateurs couramment utilisés s’exprime souvent en microfarads (10-6 F), en nanofarads (10-9 F) ou même en picofarad (10-12 F).
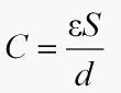
La capacité est fonction de la forme et des dimensions des armatures et de la caractéristique diélectrique du milieu isolant séparant celles-ci. Par exemple, la capacité d’un condensateur plan s’exprime par la formule :

, où S est la surface en regard des armatures, d la distance entre les deux armatures et ∊ la permittivité du milieu situé entre les armatures (c'est-à-dire la réponse du milieu à un champ électrique).
2. Les différents types de condensateurs
Les condensateurs peuvent se classer d’après la nature du diélectrique. Ce dernier peut être un vide d’air, du papier (ciré ou huilé), du mica, du verre, une feuille plastifiée, de la céramique, etc. Actuellement, la fabrication des condensateurs se fait, le plus souvent, à partir d’une feuille de métal et d’un matériau isolant, superposés et enroulés en couches alternées, puis moulés en un ensemble compact.
La capacité des condensateurs peut être fixe ou variable. Dans les condensateurs ajustables ou variables, l’air constitue le diélectrique entre des lamelles parallèles.
3. Condensateurs et circuits électriques
Dans le schéma d'un circuit électrique, un condensateur est représenté par le symbole

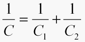
Les condensateurs peuvent être groupés en série, ils forment alors une batterie de condensateurs (→ circuit électrique). Pour deux condensateurs de capacités C1 et C2 montés en série, la capacité C de la batterie est donnée par la formule :

Lorsque deux condensateurs sont placés en parallèle, donc soumis à la même tension, le condensateur équivalent aux deux condensateurs en parallèle a pour capacité C la somme des capacités des deux condensateurs (C1 et C2), soit :
C = C1 + C2
4. Champ électrostatique dans un condensateur
Entre les deux armatures d’un condensateur règne un champ électrique uniforme. Les lignes de champ sont perpendiculaires aux armatures et sont orientées de l’armature positive vers l’armature négative. Le vecteur champ électrique, dont la droite d’action est parallèle aux lignes de champ, est ainsi orienté vers l’armature chargée négativement.
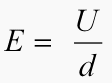
L’intensité du champ électrique, noté E, est égale au rapport de la tension électrique U entre les deux plaques par la distance d entre les deux armatures :

avec E en volts par mètre (V•m–1), U en volts (V) et d en mètres (m).
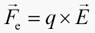
Une charge électrique q placée entre les armatures du condensateur est soumise à une force électrostatique
due au champ électrique
régnant entre les armatures. Le vecteur force électrique
a pour expression :

Suivant le signe de la charge électrique q, le sens du vecteur force sera différent :
• si q > 0,
sera dirigé vers l’armature négative ;
• si q < 0,
sera dirigé vers l’armature positive.
5. Utilisation des condensateurs

Les condensateurs sont couramment employés en électronique, ainsi que dans l’électrotechnique industrielle. Par exemple, des condensateurs à capacité variable sont associés à des inductances pour réaliser les circuits à résonance utilisés notamment dans les radios. Par ailleurs, les condensateurs à grande capacité sont utilisés dans les lignes de haute tension pour permettre à la ligne de transporter davantage d’énergie.

